Toggle navigation
首页
公司简介
产品介绍
新闻中心
人才招聘
联系我们
中文
ENGLISH
品质为上
四川上瑞制药有限公司欢迎您!
产品搜索
产品类别
原料药
中间体
植物提取物
高纯度植化单体
产品介绍
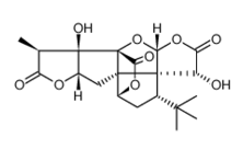
银杏内酯A
结构式:
分子式:
C
2
0
H
2
4
O
9
分子量:
408.4
CAS-No.:
[15291-75-5]
纯度:
≥95.0%